研报&论文-历史文档不公开

“学海拾珠”系列之八十四:时变的基金业绩基准

由small_q创建,最终由small_q 被浏览 11 用户

报告摘要

主要观点

本篇是“学海拾珠”系列第八十四篇,本文进一步探讨了基金业绩评价时的基准选择,使用极大似然估计方法,通过最小化基金alpha的方差,从市场指数中确定时变基准,作者将其命名为regime-switching方法。这种基准能更好地捕捉目标基金的风格,在样本外预测基金alpha时,使用时变基准比传统基准的alpha持续性更强。回到国内基金市场,进行业绩评价的第一步就是确定基金的基准,并且国内市场同样存在比较严重的设定基准错配以及基金风格漂移的问题,因此时变的基准可能能够更好地捕捉基金风格,对其alpha做出更准确的评估。

传统业绩基准的局限性

基金业绩评估方法可分为两种:1、基于回报的业绩评估;2、基于投资组合持仓的业绩评估。每种方法都有自己的(劣)优势。基于因子的基准和基于指数的基准并不等价。作者将17个常见被动指数回归到风险因子上时,出现了显著为正的alpha,因此,使用基于因子的基准,很可能高估了基金的业绩。另一方面,基金评价时如果采用的指数基准是错配的,基金alpha的方差就会增加。

时变的基于指数的基准

作者基于17个常见的被动指数,使用极大似然估计方法,通过最小化基金alpha的方差,从指数中确定时变基准,得到的时变基准比传统指数基准更好地捕捉到了基金的系统性风险暴露。作者发现,基金官方/设定基准的错配率相当高,在金融危机之后达到85%(1-15%),在金融危机期间,基金的风格漂移更为频繁。来自错配基准的估计alpha持续性会比较差,这也是样本外alpha衰减的重要原因。在样本外预测中,使用作者的时变基准比传统的指数基准有更高的alpha持久性。

风险提示

本文结论基于历史数据与海外文献进行总结;不构成任何投资建议。

简介

基金业绩评估方法可分为两种:

  1. 基于回报的业绩评估;
  2. 基于投资组合持仓的业绩评估。

每种方法都有自己的(劣)优势。基于回报的方法依赖的信息较少,但对基准组合的选择很敏感(Roll,1978; Lehmann and Modest,1987;Chan,Dimmock, andLakonishok,2009)。基于持仓的方法更精确地构建了一个基准,但持仓数据(如果有的话)的披露频率很低,因此数据量有限,实用性有限。在本文中,作者不仅对现有文献中常用的基金基准的适当性提出了质疑,而且还开发了一种新的基准识别方法,这种方法不需要持仓数据,但产生的基金基准要比现有的基于收益的基准准确得多。作者基于17个常见的被动标普和罗素指数对基金的基准选择的问题采用了一种灵活的机制转换(regime-switching)方法。作者首次明确和全面地研究了基准选择对基金业绩评估的潜在影响,提供了理论、模拟和实证。

基准选择在基金业绩评估中至关重要。例如,尽管一些论文(Cremersand Petajisto, 2009; Berk and van Binsbergen, 2015; Pástor, Stambaugh, andTaylor, 2015)猜想基金基准由被动可投资指数(即基于指数的基准)构建比套利定价理论因子组合(即基于因子的基准)更好,但理论上也尚未有明确定论。此外,尽管一些研究(Sensoy,2009)认为,对于一些基金来说,自定的基准并不符合其实际风格,但如何选择正确的基准仍然不清楚,更不用说基准选择对基金业绩评价的潜在影响。

作者首先研究了基于因子的基准和基于指数的基准选择之间看似等同的关系。从理论上讲,如果后者能被前者完全解释,那么这两种选择是等同的。从经验上看,情况并非如此,因为当作者将17个常见的被动标普和罗素指数回归到风险因子上时,出现了正的alpha。这一发现表明,使用基于因子的基准,很可能高估了基金的业绩,读者应谨慎对待。更重要的是,作者进一步证明,只要基金评价时基于指数的基准是错配的,基金阿尔法的方差就会增加。

那么后续的问题就是如何捕捉最佳的基于指数的基准。作者提出了一种机制转换方法,通过最小化基金指数的方差,从17个流行的被动标普和罗素指数(这些指数是根据规模和价值/成长维度定义的)中为美国股票基金确定一个基于时间变化的指数基准,加入或不加入无风险资产。作者强调基金基准错配的现象,发现在设置时变时,基金基准错配的比例远远高于Sensoy(2009)的研究中不设置时变的情况。作者还强调了无风险利率作为额外基准的作用,反映了基金现金持有的重要性(Sensoy,2009;Simutin,2014;Panageas和Westerfield,2009)。作者通过以下方式评估基于指数的基准的选择的效果:i)Fama和French(1993)的三个因子载荷在解释基金每月基准调整后的收益方面的统计意义;ii)基准对基金超额收益的解释能力(即平均R的平方)。

直观地讲,作者发现标普500相关指数是基金最受欢迎的基于指数的基准。作者的实证结果还显示,与官方/自定的基准以及Sensoy(2009)确定的替代基准相比,作者开发的时变的指数型基准能更好地捕捉基金风格,与官方/自定的基准有一部分重合。

基金基准错配是如何影响基金业绩评估的?为了回答这个问题,作者分别使用时变的基于指数的基准和官方/自定的基准来估计基金alpha,并比较估计的基金。时变的基于指数的基准大大改善了对具有显著alpha的基金的识别。使用作者构建的基准,能够确定更大一部分具有统计学意义的基金的alpha,但平均值较小。在样本外预测中,使用时变的基于指数的基准比传统的基于指数的基准有更高的alpha持久性

基于因子的基准与基于指数的基准

在本节中,作者提出了一个简单的计量经济学框架,以建立基金业绩评估中基于因子的基准和基于指数的基准之间的理论等价性。

计量经济学框架设定

作者将主动型股票基金的回报率建模为:

图片{w:100}

其中rit是基金i在时间t的回报,rbmk,k,t表示基准k在时间t的回报,αi通常被称为基金alpha,εit是跟踪误差。从理论上讲,基准的回报受到系统风险的影响,因为它确实是一个完全分散的投资组合(Markowitz, 1952)。因此,作者对基金基准指数的回报进行建模,即

图片{w:100}

其中xt表示定价因子(如Fama-French因子),βk是基准的特定因子载荷,ft表示未观察到的共同因子或未利用的定价因子(如常见的宏观冲击、技术冲击和金融危机),λk是相应的因子载荷。

将rbmk,k,t代入模型(1),作者得到一个基于线性因子的基准:

图片{w:100}

这就是评价主动型基金的现有金融文献中非常流行(Jensen(1968)的资本资产定价模型(CAPM)、Fama-French(1993)三因子模型、Fama-French-Carhart(1997)的四因子模型)。如果所有的定价因子都被观察到或利用,那么基于因子的基准在评估基金业绩方面会表现良好,因为它产生了最有效的阿尔法估计值,并且与基于指数的基准相当。但是,如果存在未观察到的因子,情况就不是这样,在这种情况下,理论上的等价性不成立,普通最小二乘法(OLS)对阿尔法的估计是有偏差的。

理论上的等同性不成立:缺失因子

通过重新排列式子,方程(3)可以改写为

图片{w:100}

其中E(ft)表示ft的期望,

图片{w:100}

让hat(αt)和hat(β)分别表示αi和βk的OLS估计。由于未观察到的共同因子ft的存在,估计值hat(αt)和hat(β)在经典假设下具有以下渐进性质(Wooldridge,2010):

图片{w:100}

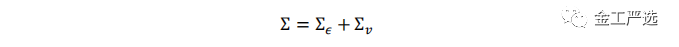
其中T是时间长度,Ε是(hat(αt),hat(β))的渐进方差,

图片{w:100}

图片{w:100}

图片{w:100}

图片{w:100}

从(5)中不难看出,在这种情况下,hat(αt)是αi的有偏估计值,偏差项是风险补偿E(ft)λk。如果E(ft)λk是正的(负的),基金的α会被高估(低估)。

在17个流行的被动标普和罗素指数中,按规模和价值/成长的维度定义,除了罗素2000成长,E(ft)λk都明显为正。因此,如果人们只是将基金收益率回归到观察到的定价因子上,那么他们就会高估基金的阿尔法,而这些虚假的阿尔法来自于他们没有将未观察到的风险因子。

总的来说,作者已经证明了基于因子的基准可能会高估基金α的业绩表现,因为对于大多数流行的基准来说,未观察到的风险补偿是明显的正值。因此,从现在开始,作者在本文的其余部分着重讨论基于指数的基准。虽然基于因子的基准通常会受到因子缺失引起的未观察到的风险补偿的影响,但基于指数的基准可能会受到基准错配的严重问题的影响(例如,Sensoy(2009))

基于指数的基准错配

根据模型(1),rit-rbmk,k,t的不确定性只来自于基于指数的基准没有错配时的。也就是说,如果作者将rit-rbmk,k,t回归到观察到的定价因子上,它们在统计上应该是不明显的。在现实世界中如果存在错配的基于指数的基准,情况就不一样了。

计量经济学分析

假设用rbmk,j,t代替rit的真实基准rbmk,k,t,那么从作者第一节的理论模型来看,有

图片{w:100}

数值模拟

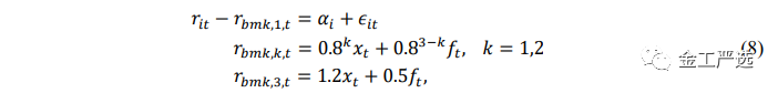
本小节进行了蒙特卡洛模拟,以证明上述基于指数的错配基准的理论分析。数据生成过程(DGP)是

图片{w:100}

其中,αi是从数据集U[-0.1/12,0.1/12]上的均匀分布生成的,xt和ft都是从独立的正态分布生成的,均值为0.08/12,标准差为sqrt(0.15^2/12),εit是从正态分布生成的,均值为0,标准差为0.02。

基准1和2都是从正态分布中生成的,具有相同的均值和方差。根据传统观点,使用基准1或2,作者将得到相同的αi。然而,根据作者的理论,本文将使用基准2,αi将被低估

图片{w:100}

这来自于在基金收益中扣除过多的未观察到的风险补偿。此外,作者的理论意味着,使用较高的基金基准,例如基准3,基金的alpha将被高估

图片{w:100}

这是因为在基金收益中扣除了较少的未观察到的风险补偿。此外,作者猜想,使用基准2和基准3,xt可能变得显著,因为这些基准不能捕捉到基金在共同因子上的所有风险暴露。

为了检验上述猜想,作者生成了1000只基金,并将时间长度T分别设定为200、400和800。然后作者将rit-rbmk,1,t、rit-rbmk,2,t和rit-rbmk,3,t分别回归到观察到的定价因子xt上。作者通过计算偏差和均方根误差(RMSE)来衡量估计的阿尔法的准确性,公式为

图片{w:100}

其中 hat(αt)是第i次重复的真实基金αi的估计值。作者还计算了hat(β)在1000次重复中的显著性比率,方法是计算显著P值的数量,即低于2.5%的P值,然后再除以1000。

结果见图表1,从中作者发现以下事实。首先,使用真正的基准,的估计值非常接近真实值,而且RMSE随着样本量的增加而变小。第二,使用基准2,α被低估了大约0.0011,而使用基准3,α被高估了大约0.0010。这两个假值正好与作者的理论所建立的数值相同。第三,基于指数的错配的基准降低了α的估计有效性,因为它引起了更大的RMSE。最后,使用基准2和基准3,β的显著性比率接近1,而基准1的比率只有0.05左右,这表明基于指数的基准错配也导致了xt的显著性。总而言之,一个好的基准应该能捕捉到基金在观察到的和未观察到的共同因子上的所有风险暴露,因此定价因子应该是不显著的。

图片{w:100}

时变的指数基准

在这一节中,作者提出了一种机制转换(regime-switching)的方法来检测基金潜在的基于指数的基准。

机制转换(regime-switching)方法

假设总共有K个基准,令

图片{w:100}

是识别矩阵Ik的第St列。那么,模型(1)变成

图片{w:100}

可以看到,如何确定基于的真实指数基准k就是估计变量St。

图片{w:100}

是包含截至时间t的观察数据的向量,

图片{w:100}

是模型参数的向量。其中P是过渡矩阵,其中元素Plj表示基准转换的概率

图片{w:100}

σi是εit的标准差。观察数据的对数似然函数被构造为

图片{w:100}

因此,最大似然估计量hat(θ)可以通过以下方式获得

图片{w:100}

在模型(10)中存在K^2+2个未知参数。当K不大时,可以通过数值方法,如Newton-Raphson方法来最大化似然函数。然而,在作者的真实数据样本中,K=17,相对较大,通常的Newton-Raphson算法并不是一个好的选择,因为优化经常失败。因此,在本文中,作者设计了一种期望最大化(EM)算法来估计未知参数。

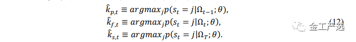
参数估计的一个副产物是对St的估计。使用马尔科夫切换滤波器和Kim(1994)开发的算法,作者可以得到三种对St的推断,分别是预测概率、过滤概率和平滑概率。这些都是确定真正基于指数的基准的良好指标。因此,作者提出以下三个检测标准来确定基准。

图片{w:100}

在下一小节中,基于上述检测标准,作者将以实证方式确定美国股票基金实际基于时间变化的指数基准。

识别时变的基于指数的基准

在本小节中,作者使用前面提出的机制转换方法,从17个流行的被动标普和罗素指数(按规模和价值/成长维度定义)中确定美国股票基金的潜在时间变化的指数基准。这17个基于指数的基准,用k=1,···17表示,分别是标普500、标普500价值、标普500成长、标普400、标普600、罗素1000、罗素1000价值、罗素1000成长、罗素2000、罗素2000价值、罗素2000成长、罗素3000、罗素3000价值、罗素3000成长、罗素中盘、罗素中盘价值、罗素中盘成长。

数据和描述性统计

作者从证券价格研究中心(CRSP)的基金数据库中获得1998年11月至2014年12月期间主动型美国股票基金的净回报,剔除指数基金。样本范围划定在初始总净资产(TNA)超过1000万美元且80%以上持股为股票的基金,得到了5592只基金的样本,这些基金在1998年11月至2014年12月期间至少有18个月的回报数据。图表2列出了研究基金的汇总统计数据,主要特征如下:1、基金平均收益的中值略微为正,即每月0.2%。各个基金的平均收益在(-0.077 ∼ 0.062)的区间内。2、从Fama-French三因子对基金的估计α值的中位数是略微负的(即-0.001)。3、基金收益率中位数的波动率为每月5.1%,在10%和90%的分位数,基金的波动范围是3.1%∼7.6%(Ferson和Chen(2020)中是4.2%∼7.0%)。4、基金的自相关性中位数为0.125,基金的自相关性范围为-0.667至0.580。

基金自设的基准数据源为Cremers和Petajisto(2009),涵盖2740个基金的非平衡面板数据。为了便于比较作者估计的基于指数的基准和自定的基准,作者取两组数据的基金交集,共剩下1695只基金。

图片{w:100}

时变的基于指数基准的实证

在介绍主要结果之前,作者提出了两种解决基金现金持有问题的方法,第一个是所谓的“ β调整基准”,表示为βrbmk,k,t,其中对大多数基金来说0<β<1。β的经济含义是非常直接的。例如,如果β=0.9,那么意味着该基金持有10%的现金和90%的股票。为方便起见,作者把不调整的基准称为“无现金基准”。第二种方法是增加无风险利率作为额外的基准,因为无风险资产在理论研究中被明确视为基准。在这种情况下,共有18个基于指数的基准,为了简单起见,作者称它们为“增加现金后的基准”。这种方法的思路也可以用EM算法来说明,它被用来最大化似然函数(即方程(11))。在E步骤中,作者使用P(St|Ωt,θ)对潜在的基准指标变量k进行推断。在M步骤中,作者只是用P(St|Ωt,θ)对基金收益率和18个基于指数的基准向量(包括无风险利率)进行重新加权。因此,“增加现金后的基准”提供了一种明确的方式来考虑现金持有。例如,如果基金i持有10%的现金和90%的股票,那么P(St=k|Ωt,θ)等于0.9,P(St=18|Ωt,θ)等于0.1。

然后,作者使用前面提出的机制转换(regime-switching)方法来确定样本中基金的潜在的基于指数的基准。具体来说,作者在每个时期计算这些估计基准的百分比,结果显示在图表3至图表5。从这三个图中,可以看到17个基于指数的基准的百分比随着时间的推移波动很大,这表明基金行业的基金风格是随时间变化的。从图表6中可以看出,标普500相关指数(即标普500、标普500价值、标普500成长)是基金最受欢迎的指数型基准。

图片{w:100}

图片{w:100}

图片{w:100}

此外,作者通过计算重叠率(OR),将作者估计的基于指数的基准与取自Cremers和Petajisto(2009)的自设基准进行比较,定义

图片{w:100}

其中N表示两组数据中的基金数量(即1695只),nt表示在时间t两组数据中具有相同基准的基金数量。作者发现本文确定的基准与基金官方/自设的基准部分重叠。此外,在全球金融危机之前,这些比率约为18%,而在全球金融危机之后约为15%。这表明,在作者的时变设定中,基金基准错配的部分(1-重叠率)比Sensoy(2009)的得到的结论要高得多(约为三分之一)。变化的重叠率还表明,在金融危机期间,基金的风格漂移更为频繁。

图片{w:100}

不同基准的风险暴露比较

在本小节中,作者根据Sensoy(2009)使用Fama-French三因子回归来解释基金的每月基准调整后的回报。

图片{w:100}

其中,rit是基金i在时间t的回报,rbmk,k,t是基于指数的基准k在时间t的回报,MKTt,SMBt,HMLt表示Fama-French三个因子。分别表示市场超额收益、规模和价值因子。每个回归中的因子载荷都确定了基金和其基准的平均因子暴露之间的差异。根据作者在第2节中提出的理论,一个好的基准应该捕捉到基金回报的所有系统性风险暴露。因此,作者猜想,估计的基于指数的时变基准下,Fama-French三个因子的显著性比率应该是最低的。

图表7的A组显示了回归系数分布的统计数据,并使用七种不同的基准评估了全部样本下(即5592只基金)因子的显著性差异。从A组中,作者发现相当一部分基金在这三个因子上有明显的风险暴露,即使是作者估计的“无现金基准”。然而,基于机制转换的基准,特别是,“β-调整基准”和“增加现金后的基准”产生的基金回报与相应基准之间的特征差异最小。

图片{w:100}

具体来说,相当一部分基金的风险敞口与指数的基准有明显不同。基金在SMB的风险暴露更积极,相对于无风险利率、市场因子、标准普尔500指数等基准,具有统计显著的HML暴露的基金比例约为45%,当作者使用Sensoy(2009)基准或作者估计的“无现金基准”时,该比例降至约30%,而当使用作者估计的“ β-调整基准”和“增加现金后的基准”时,该比例进一步降至约20%。

根据上述分析,相比之下,“β-调整基准”和“增加现金后的基准”能很好地捕捉基金风格,使用这两个基准,只有很小一部分基金在Fama-French三个因子上的暴露比较显著。

图表7中的B组增加了一个基金官方/自设基准,发现作者估计的基于指数的基准在捕捉Fama-French三个因子的风险方面比自设的基准表现得更好

用本文确定的基准进行业绩评估

在本节中,作者将基于指数的时变基准应用于基金业绩评估,进行样本内和样本外的分析。

α估计

在本节,作者展示了不同的基于指数的基准对阿尔法估计的影响。具体来说,对于每个基金,作者用五个基于指数的基准(即S&P500,Sensoy(2009)基准,“无现金基准”,“  β-调整基准”和“增加现金后的基准”)实现以下三个模型

Fama-French-Carhart四因子模型:

图片{w:100}

Fama-French-Carhart四因子模型,用rbmk,k,t-E(ft)λk增强:

图片{w:100}

Fama-French-Carhart四因子模型,使用基准调整后的回报:

模型(14)中α的估计可以简单地通过OLS得到。对于模型(15),作者首先将rbmk,k,t回归到观察到的定价因子上,得到未观察到的风险补偿E(ft)λk的估计值hat(E(ft)λk)。然后作者在模型(15)中用hat(E(ft)λk)取代E(ft)λk,得到α的OLS估计。对于模型(16),作者将经过基准调整的收益率rit-rbmk,k,t回归到观察到的定价因子上,以得到α的偏差校正估计值。

α估计的结果见图表8。图表8的第三列显示了使用模型(14)具有统计学意义的alpha的基金的百分比(见标有'αrf'的一列),第五列和第七列(''α1bmk和α2bmk'')显示了使用模型(15)和模型(16)具有显著alpha的基金的百分比。为了计算这些百分比,作者计算出显著P值的数量,也就是那些低于2.5%的P值,然后除以某一类基金的总数。此外,在每一组(如“无现金基准”)中,第一(四)行表示具有显著正(负)alpha的基金的百分比以及这些alpha的平均值,而第二(三)行表示具有不显著正(负)alpha的基金的百分比以及这些alpha的相应平均值。

图片{w:100}

比较第三列和第五列,模型(15)与所有五个基于指数的基准相比,改善了对模型(14)的显著alpha的识别。例如,模型(14)表明,1.93%(22.59%)的基金有能力产生显著的正(负)alpha,而模型(15)与上述五个基于指数的基准表明,2.38%(24.73%)、2.93%(25.72%)、4.10%(32.31%)、6.13%(32.85%)、13.79%(32.17%)的基金分别产生显著正(负)alpha。模型(15)的改进是因为模型(14)(产生αrf)和模型(15)(产生α1bmk)的alpha大小几乎相等,但由于良好的基准所捕获的特异性干扰减少,t统计量不同。此外,作者的三个基于时变指数的基准对识别的改进远远高于Sensoy(2009)基准和标准普尔500指数,这意味着作者估计的基准可以更好地过滤掉基金收益的未观察到的共同冲击,从而通过消除对这些基金的特异性误差的波动来提高t统计的力度

比较第三列和第七列,作者发现了类似的事实,特别是模型(16)与作者的三个基于时间变化的指数的基准相比,大大改善了对重要alpha的识别。这是因为模型(16)的估计值(产生'α1bmk ')是通过从模型(14)的估计值中减去偏差项,即未观察到的风险补偿部分来进行偏差校正的。作者基于时间变化的指数的基准对重要alpha识别的改进表明,作者应该在估计的基金alpha中去除这部分。

观察每个基准的显著正负值的平均幅度,作者发现使用作者三个基于时变指数的基准,其幅度相对于Sensoy(2009)的时变基准和标普500指数要小。例如,使用作者三个基准的模型(15)显示,显著正(负)的alpha平均为0.0085(-0.0060),0.0083(-0.0056),0.0092(-0.0059),而使用其他两个基准的模型(15)显示平均为0.0120(-0.0072)和0.0106(-0.0068)。

此外,采用作者的三个基于时间变化的基准的模型比采用其他两个基准的模型取得了更高的平均R^2。例如,使用作者三个基准的模型(16)的平均R^2至少为60%,而其他两个基准的分别只有53.19%和53.50%。

图片{w:100}

为了检验这些结果的稳健性,作者还考虑了基于Fama-French三因子和Fama-French五因子模型的上述三个模型。结果分别列于图表9和图表10,从中作者发现了与图表8类似的结论。

总之,与其他基准选择相比,本文的时变基准能更好地捕捉基金风格,并大大改善了对基金alpha的识别。具体来说,识别出的具有统计学意义的alpha基金占比更大了,但平均值较小。

图片{w:100}

样本外预测中的α持久性

在本小节中,作者遵循Hunter、Kandel、Kandel和Wermers(2014)的做法,设计了一个简单的样本外实验,以测试作者事实上基于时间变化的指数的基准是否能在样本外预测中产生比其他基准更高的 α持久性。由于在标准线性因子模型中存在缺失的共同因子,假性 α出现了。由于假性 α随时间波动,来自错配的基准的估计 α持续性会比较差,这也是样本外 α衰减的重要原因。因此,作者猜想,本文基于时间变化的指数的基准可以产生比以往文献中其他基准更高的 α持久性。

具体来说,作者使用模型(14)和(16)对业绩的持久性进行了简单的样本外测试。具体情况如下。

首先,作者使用模型(16)估计1999年1月至2002年12月期间的基金指数,并分别使用六个基准(即无风险利率、S&P500、Sensoy(2009)基准、“无现金基准”,“β-调整基准”和“增加现金后的基准”)。之后,作者将所有的美国股票基金按每个基准的该模型的 α的t统计量分成四组。接下来,对于每个四分位的基金,作者分别使用模型(14)和(16)来估计基金的alpha,然后计算出明显的正负alpha的百分比,用来衡量它们在接下来不重叠的四年(即2003年1月-2006年12月)的表现。最后,作者以不重叠的滚动方式重复步骤1-3,直到作者得到所有样本外年份的基金alpha。

为了考察不同基准的样本外预测业绩,业绩差异指标被定义为第一组和第四组中显著正(或负)alpha的基金的百分比的差异。具体来说,作者分别计算两个指标。(1)第一组中的显著正数alpha百分比减去第四组中的百分比;(2)第一组中的显著负数alpha百分比减去第四组中的百分比。业绩差异指标越大,相应的基准就表现得越好。

图片{w:100}

图表11列出了使用模型(14)的结果。一般来说,第一组的基金比第四组的基金表现出更多(更少)的显著正(负)alpha。此外,按作者构造的时变基准排名的第一组和第四组的基金,其业绩差异更大。例如,在2003-2006年,“β-调整基准”样本外预测业绩差异为17.16%(显著为负差异为-34.48%),而按标准普尔500指数基准的样本外预测业绩差异为7.18%(显著为负差异为-20.96%)。

图片{w:100}

此外,作者使用模型(16)与增加现金的时变的基准来衡量样本外的alpha。结果显示在图表12中。与图表11中观察到的结果一致,作者还发现,与基于模型(14)的结果相比,模型(16)第一组和第四组基金之间的业绩差异变得更大。

所有上述证据表明,在样本外预测中,使用作者的基于时间变化的基准比传统的基于指数的基准有更高的alpha持久性。

结论

本文认为,基于因子的基准和基于指数的基准选择之间的理论等价关系在经验上并不成立,因为当作者将17个流行的被动标普和罗素指数回归到风险因子时,出现了正的alpha。本文还证明了,只要基金的指数基准是错配的,那么基金的方差就会增加。基于上述发现,作者提出了一种机制转换(regime-switching)方法,通过最小化基金alpha的方差,从17个流行的被动标普和罗素指数中找出一个基于指数的时间变化的基准。作者通过以下方式评估基于指数的基准的选择:i)Fama-French三因子载荷在解释基金月度基准调整收益方面的统计意义;ii)基准对基金超额收益的解释能力(即平均R^2)。

直观地讲,作者发现标普500相关指数是基金最受欢迎的指数型基准。作者发现基金基准错配的现象十分普遍。作者还强调了无风险利率作为额外基准的作用,反映了基金现金持有的重要性。作者的实证结果还表明,作者确定的基于指数的时变基准比基金官方/自设的基准以及Sensoy(2009)基准更能反映基金风格

作者证明了时变的基于指数的基准大大改善了对具有正负alpha的基金的识别。能够确定更大一部分具有统计学意义的基金的alpha,而其平均值较小。以前的研究可能大大高估了基金的alpha,基金投资者应谨慎对待。作者发现在样本外预测中使用时变的指数基准比传统基准有更高的alpha持久性。

总的来说,文献进一步强调了基金业绩评估研究中基准选择的重要性。与事前设定的基准不同,作者和其他研究(如Sensoy(2009))确定的基准是事后的,这可能是一个局限点。但这套模型可扩展空间很大,也可以用于其他类型的基金(尤其是没有持仓数据的基金)。此外,一个可能的未来研究方向是,研究几个基准的混合而不是单一的基准是否能更好地捕捉一些基金的风格,以及是否能进一步改善对基金alpha的识别

文献来源

核心内容摘选自Cheng, T. , C.Yan , 和Y. Yan在《Social Science Electronic Publishing》上的论文《Benchmarking Mutual Fund Returns》

风险提示

本文结论基于历史数据与海外文献进行总结;不构成任何投资建议。

{link}