研报&论文-历史文档不公开

如何更合理的刻画基金业绩基准

由crisvalentine创建,最终由crisvalentine 被浏览 13 用户

报 告 摘 要

de facto 时变指数基准

传统基于因子的基准模型,由于可能存在未观察到的因子,且该风险溢价一般为正,从而会高估基金的alpha。并且当指数基准错配时,基金alpha的方差会增加。

据此,本文利用了一种机制转换方法(regime-switching methodology),通过最小化基金alpha的方差,从17个被动型标准普尔和罗素指数中识别得到de facto时变指数基准。

另外,本文认为评估基准好坏有以下2个标准:I) 基金月度基准调整后的收益在Fama French(1993)三因子上的暴露是否显著;II)基准对基金超额收益的解释程度(如平均R^2)。

与其他基准相比,de facto时变指数基准的优势在于:该基准能更准确地捕捉基金风格,比如“beta调整基准”和“现金增强基准”在捕捉Fama-French三因子的风险暴露方面要比基金公告的基准好得多;其次,该基准大大提高了识别基金alpha的能力,并且对基金超额收益的解释程度R^2更高;在样本外预测中,使用时变指数基准比传统的指数基准有更高的alpha持久性。

基准选择在业绩评价中的重要性

在利用时变指数基准进行bootstrap分析后,与现有研究结论不同,本文发现基金的正alpha来源于“运气”,而负alpha是因为基金的管理技能较差。这进一步强调了业绩评价中基准选择的重要性。

文献来源

文献来源:Cheng, Tingting and Yan, Cheng and Yan, Yayi. "Benchmarking Mutual Fund Returns." Available at SSRN(2019)

文献亮点:

本文提出了一种机制转换方法(regime-switching methodology),以从17个市场指数中识别构建de facto时变指数基准。与其他基准相比,该基准能更准确地捕捉基金风格,大大提高了识别基金alpha的能力,并能提供更有效的样本外预测,为基金业绩评价做出了贡献。

\

引言

基金业绩评价的方法主要有两种:一是基于收益(Returns-based)的评价方法;二是基于组合持仓(Portfolio holdings-based)的评价方法。基于收益的方法依赖较少的信息,但对基准的选择很敏感;基于持仓的方法可以构造更精确的基准,但是可用数据的频率要低得多。

本文质疑了常用基金基准的可行性,并提出一种新的基准识别方法,不需要用到持仓数据,但比现有的基于收益的基准要更精确。在基准选择上,该方法基于17个被动型标准普尔和罗素指数,是更加灵活的机制转换方法。

基准选择在基金业绩评价中至关重要,有些基金自己指定的基准并不符合其实际风格。首先,本文证明了基于因子的基准和基于指数的基准之间的似然等价性。从理论上讲,如果后者可以被前者充分解释,那么这两种选择是等同的。将17个常用的被动型标准普尔和罗素指数与风险因子进行回归时,结果没有出现显著为正的alpha。这表明,利用因子基准,很可能高估了基金的表现。更重要的是,当基准错配时,基金alpha的方差会增加。

那么如何能得到一个好的指数基准?本文通过最小化基金alpha的方差,无论基金是否有无风险资产,从17个指数中确定了一个时变的指数基准。在时变背景下,基金基准错配的比例远远高于时不变下的比例。

本文认为评估基准好坏有以下2个标准:I) 基金月度基准调整后的收益在Fama French(1993)三因子上的暴露是否显著;II)基准对基金超额收益的解释程度(如平均R^2)。实证发现,标准普尔500相关指数是最受基金欢迎的指数基准;de facto时变指数基准比官方/公告基准能更好地捕捉基金风格,并且与官方/公告基准有部分重叠。

基金基准错配如何影响基金业绩评价?为了回答这个问题,本文分别使用时变指数基准和官方/公告基准来估计基金alpha,并比较估计的基金alpha。de facto时变指数基准大幅提高了识别基金alpha的能力;在样本外预测中,使用de facto时变指数基准比传统指数基准有更高的alpha持久性;并且在bootstrap方法中使用该基准,发现“运气”(抽样变异性)可以解释基金的正alpha,但不能解释基金的负alpha。

本文的行文主要按下面步骤进行。第一节建立了因子基准与指数基准之间的似然理论等价性,并给出了理论等价性不成立的条件。第二节介绍了指数基准错配的后果,并提供指数基准选择的标准。第三节提出了一种机制转换方法来识别de facto时变指数基准。第四节使用前面构造的时变指数基准来评估基金的表现。第五节对本文给予总结。

因子基准和指数基准

本节通过一个简单的计量框架,建立了基金业绩评价中因子基准与指数基准之间的理论等价性,然后提出了理论等价性不成立的条件(即线性因子基准存在缺失因子)

计量经济学分析

在基金招股说明书和其他公开披露的信息中,基金必须指定一个基准,用以比较每只基金的表现。为了不损失一般性,本文将主动股票型基金的收益建模为:

{w:100}r_(i,t)是基金i在t时刻的收益,r_(bmk,k,t)是t时刻基准k的收益,α_i是基金alpha,ϵ_(i,t)是跟踪误差。基准的收益r_(bmk,k,t)受到系统风险的影响,可以建模为:

{w:100}将r_(bmk,k,t)带入后,得到一个线性因子基准:

{w:100}其中,x_t是定价因子(如Fama French因子),β_k是因子荷载,f_t是未观察到的共同因子(如宏观冲击、技术冲击和金融危机),λ_k是对应的因子荷载。

如果能够观察到所有定价因子,那么因子基准就能很好地评价基金业绩,以得出最有效的alpha估计,这时因子基准与指数基准是等价的。然而,如果存在未观察到的因子f_t,该理论等价性就会不成立。

理论等价性不成立:缺失因子

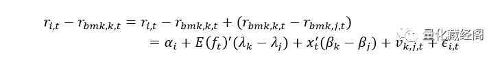
考虑到存在缺失因子,可以重新对基金收益建模:

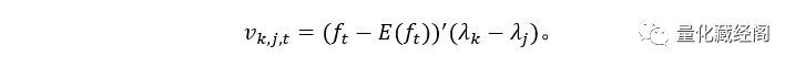
{w:100}E(f_t )'是f_t的期望,v_(k,t)=(f_t-E(f_t )' ) λ_k。α^_i和β^是α_i和β_k的OLS估计量,由于存在未观测到的因子f_t,α^_i和β^会服从一个渐进正态分布:

{w:100}很容易看出,在这种情况下,α^_i是α_i的有偏估计量,而偏移项是风险补偿E(f_t)'λ_k。如果E(f_t)'λ_k为正(负),基金alpha将被高估(低估)。如图1所示,在17个以规模和价值/增长维度定义的被动型标准普尔和罗素指数中,除了罗素2000增长,E(f_t)' λ_k均显著为正。如果只是根据观察到的定价因子对基金收益进行回归,那么就会高估基金alpha,而这些虚假的alpha来自于未观察到的因子所带来的风险溢价;并且α^_i的方差也会增加。

{w:100}

指数基准错配

本节将探讨指数基准错配所造成的后果。指数基准没有错配时,r_(i,t)-r_(bmk,k,t)的不确定性仅来自ϵ_(i,t)。如果将r_(i,t)-r_(bmk,k,t)与观察到的定价因子进行回归,它们在统计意义上应该是不显著的。

计量经济学分析

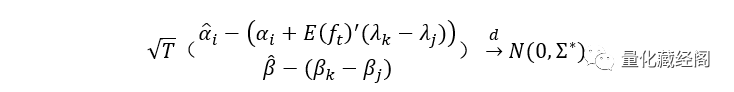
当指数基准错配时,假设使用r_(bmk,j,t)代替真实基准r_(bmk,k,t),

{w:100}其中,

{w:100}在经典假设下OLS估计量服从渐进正态分布,

{w:100}可以发现,α ̂_i是α_i的有偏估计量,而偏移项是E(f_t )' (λ_k-λ_j);(α^_i , β^')方差会增加;定价因子x_t会变得显著。

数值模拟

假设数据生成过程(DGP)为:

{w:100}其中,α_i服从均匀分布U[-0.1/12,0.1/12],x_t和f_t是均值为0.08/12,标准差为√(0.15^2/12)的独立正态分布产生的,ϵ_(i,t)是均值为0,标准差为0.02的正态分布产生的。根据传统的理论,基准1和基准2会得到相同的α_i。本文的理论认为使用基准2,α_i将会被低估0.0011 (E(f_t )' (λ_1-λ_2) =0.08/12×(0.64−0.8)≈ −0.0011),使用更高的基准3,α_i将会被高估0.001 (E(f_t )' (λ_1-λ_3) =0.08/12×(0.64−0.5)≈ 0.001)。使用基准2和基准3, x_t可能会变得显著,因为这些基准不能捕捉基金在因子上的所有风险暴露。

为了检验这一猜想,下面生成了1000只基金,并将时间长度T分别设置为200、400和800。分别将r_(i,t)-r_(bmk,1,t), r_(i,t)-r_(bmk,2,t), r_(i,t)-r_(bmk,3,t)与x_t回归。通过计算偏差和均方根误差(RMSE)来衡量alpha估计的精度。

{w:100}还计算了β^的p值低于2.5%在1000次试验中的比例。

{w:100}结果如图2所示。首先,使用真实基准,alpha的估计非常接近真实值,RMSE随着样本量的增加而变小。其次,使用基准2,alpha大约低估了0.0011,而使用基准3,alpha大约高估了0.0010。这两个伪alpha值和理论推导的结果是一样的。第三,错配的指数基准使RMSE更大,降低了alpha估计的效率。最后,在基准2和基准3中,β的显著性比接近于1,而基准1的显著性比仅为0.05左右,说明指数基准错配会导致x_t的显著性。综上所述,一个好的基准应该涵盖基金在观察到和未观察到的因子上的所有风险暴露,这时,定价因子应该是不显著的。

确定时变指数基准

在这一节中,将提出一个机制转换的估计量,并用真实数据去识别潜在的指数基准。

机制转换的方法

假设共有K个基准,令r_(bmk,t)=[r_(bmk,1,t),…,r_(bmk,K,t) ]^',以及β_(s_t ) (s_t∈{1,…,K})是单位矩阵I_K的s_t列,

{w:100}真实的指数基准k与估计的潜在变量s_t是等价的。令Ω_t=(r_(bmk,t)^',…,r_(bmk,1)^',r_it,…,r_(i,1) )^',θ=(α_i,σ_i,P)^'。其中,P是过渡矩阵,元素p_(l,j) 即p(s_t=j|s_(t-1)=l)是基准转换动态行为的概率;σ_i是ϵ_it的标准差。极大似然估计量θ^可以表示为,

{w:100}但模型估计的参数数量K^2+2很多时,利用Newton-Raphson方法进行数值模拟求解并不是最优,可能会出现失败的情况。因此,本文设计了一种期望最大化算法(EM)来求解参数。另外,利用马尔可夫切换滤波器和kim(1994)提出的算法,得到了s_t的三种推断,分别是预测概率p(s_t |Ω_(t-1);θ)、过滤概率p(s_t |Ω_t;θ)、和平滑概率p(s_t |Ω_T;θ)。据此,本文提出了以下三种确定基准的检测标准:

{w:100}

确定de facto 时变指数基准

在本节中,使用机制转换的方法,从17个常用的被动型标准普尔和罗素指数(根据规模和价值/增长维度定义)中确定美国股票共同基金的潜在时变指数基准。

数据

基金收益的数据来源于Center for Research in Securities Prices(CRSP) (CRSP),时间范围为1998年11月至2014年12月。样本中排除了指数基金,只包括初始总净资产(TNA)超过1,000万美元、80%以上资金投资于股市的基金。

指数基准的时变欢迎程度(Time-varying popularity)

对于基金持有现金的问题,很多研究已经证明了其重要性(Panageas and Westerfield(2009);Sensoy(2009);Simutin(2014));在1980年-2006年期间,美国主动权益型基金持有现金的平均比例为6.26%,标准差为9.04%。因此,在确定潜在的指数基准时,必须考虑到这一点。下面分为两种方法确定基准,

第一个方法,“beta调整基准”βr_(bmk,k,t),且0<β<1。例如,如果β =0.9,那么这意味着该基金持有10%的现金和90%的股票。将未调整的基准r_(bmk,k,t)作为“无现金基准”。

第二个方法,将无风险利率直接作为一个新的基准。因此,总共有18个指数基准,为简单起见,称它们为“现金增强基准”。这种方法背后的思想也可以通过EM算法来说明。在E步骤中,用p(s_t |Ω_T;θ)对潜在的基准指标变量k进行了推断。在M步骤中,使用p(s_t |Ω_T;θ)来重新加权基金收益r_it和18个指数基准向量。例如,如果基金持有10%的现金和90%的股票,p(s_t=k|Ω_T;θ)等于0.9, p(s_t=18|Ω_T;θ)等于0.1。

然后,用该机制转换方法来识别基金的潜在指数基准,并在每个时间点计算不同基准的占比,结果显示在图3到图6中。可以看到17个指数基准的占比波动很大,这表明了整个基金业的时变基金风格。

{w:100} {w:100} {w:100} {w:100}从图6可以看出,标普500相关指数(即标普500、标普500价值、标普500成长)是最受欢迎的指数基准。

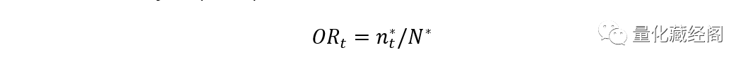
此外,本文还计算了重叠比率(overlapping ratio OR),将估计的指数基准与cremers和Petajisto(2009)所取的横断面公告指数基准进行比较。OR定义为:

{w:100}其中N^*表示两个数据集中的基金数量,而n_t^*表示两个数据集中在同一时间具有相同指数基准的基金数量。

结果显示在图7中。本文确定的基准与基金官方/公告的基准部分重叠,且 “无现金基准”、“beta调整基准”和“现金增强基准”的重叠比率相当相似。此外,在全球金融危机(GFC)之前,OR比率约为18%,在全球金融危机之后约为15%。这说明,在考虑时变机制后,基金基准错配(1-重叠比例)的比例远远高于sensoy(2009)的时不变机制,大约为三分之一。随时间变化的重叠比率也表明,在金融危机期间,基金的风格漂移更为频繁。

{w:100}

基金与不同指数基准的协方差比较

在本小节中,使用Fama-French三因子模型来解释基金的月度基准调整收益

{w:100}r_it是t时刻基金i的收益,r_(bmk,k,t)是t时刻指数基准k的收益,MKT_t是市场超额收益,SMB_t是规模因子,HML_t是价值因子。

{w:100}从图8中的Panel A可以看到,大部分基金在这三个因子上的风险暴露是显著的,并且大多数显著为负。然而,在机制转换的指数基准中,使用“beta调整基准”和“现金增强基准”,基金收益在因子上的暴露是最小的。具体来看,小部分基金在SMB上的暴露是负的,其中使用“无现金基准”时,4.04%的基金在SMB上的暴露显著为正,10.68%的基金显著为负,而其他三个基准,基金在SMB的正风险暴露更多。相对于无风险利率、市场因子、标准普尔500等基准,在HML上暴露显著的基金比例约为45%,而使用sensoy(2009)的基准或“无现金基准”时,这一比例降至约30%。当使用“beta调整基准”和“现金增强基准”时,会进一步降低至约20%。

根据上述分析, 使用这五个指数基准时(即无风险利率、市场因子、标普500指数、Sensoy(2009)时不变基准和“无现金基准”),基金在Fama-French三因子上暴露显著的比例是比较高的,且部分是由于现金持有造成的。相比之下,“beta调整基准”和“现金增强基准”很好地体现了基金的风格,使用这两个基准后,仅有非常小部分基金在Fama-French三因子上的风险暴露是显著的。

图8中的Panel B增加了基金公告的基准。可以发现与Panel A类似的结果,指数基准在捕捉Fama-French三因子的风险暴露要比基金公告的基准好得多。

\

de facto时变指数基准与业绩评价

在本节中,将de facto时变指数基准应用于样本内和样本外的基金业绩评价。

Alpha估计识别

在本小节中,测试了不同指数基准对alpha估计的影响,主要用了以下三个模型:

Fama-French-Carhart四因子模型:

{w:100}Fama-French-Carhart四因子模型,增强带有r_(bmk,k,t)-E(f_t)' λ_k:

{w:100}Fama-French-Carhart四因子模型,并用基准调整收益:

{w:100} {w:100}图9的第三列是使用模型(14)时具有显著alpha的基金的占比(α_rf列),第五和第七列(分别为α_1^bmk和α_2^bmk)是使用模型(15)和模型(16)时具有显著alpha (即p值低于2.5%)的基金的占比。

比较第三和第五列,可以发现相比模型(14),使用五个指数基准的模型(15)提高了识别显著alpha的能力。例如,模型(14)表明1.93%(22.59%)的基金具有显著正(负)alpha,而模型(15)表明2.38%(24.73%)、2.93%(25.72%)、4.10%(32.31%)、6.13%(32.85%)、13.79%(32.17%)基金具有显著正(负)alpha。此外,三种时变指数基准在改善识别alpha的能力方面远远好于sensoy(2009)时不变基准和标准普尔500指数。也就是,本文提出的基准可以更好地过滤掉未观察到的因子,从而通过消除这些基金的异质误差的波动,来提高t统计量。

比较第三列和第七列,可以发现相比模型(14),使用三个时变指数基准的模型(16)也大大提高了识别显著alpha的能力。这是因为模型(16)的alpha (即α_2^bmk)是通过减去偏移项(模型(14)中未观察到的风险补偿部分)来估计的。而未观察到的风险补偿通常是正的,因此Fama-French-Carhart四因子模型将高估alpha。

观察每个基准估计的显著正alpha和负alpha的平均值大小。可以发现,与sensoy(2009)时不变基准和标准普尔500指数相比,三个时变指数基准估计的alpha平均值量级较小。例如,使用三个基准的模型(15)中,显著正(负)alpha的平均值是0.0085(-0.0060)、0.0083(-0.0056)、0.0092(-0.0059),而使用另外两个基准的平均值分别是0.0120(-0.0072)和0.0106(-0.0068)。此外,使用时变指数基准的模型比使用其他两个基准的模型能获得更高的R^2。例如,使用三个基准的模型(16),平均R^2至少为60%,而其他两个基准的R^2平均值分别为53.19%和53.50%。为了检验这些结果的稳健性,还在Fama-French三因子模型和Fama-French五因子模型进行了实证,结果是类似的。

总之,本文提出的时变指数基准比其他基准能更好的捕捉基金风格,并大大提高了识别基金alpha的能力。

样本外预测的Alpha持久性

在本小节中,检验了时变指数基准在样本外预测中是否能比其他基准产生更高的alpha持久性。首先,在1999年1月至2002年12月估计基金的alpha,并按 t统计量排序将基金分成四等分。然后,估计基金在2003年1月至2006年12月的alpha来衡量样本外的业绩表现。下面利用了两种度量方法:(1)第一个四分位数基金中具有显著正alpha的基金占比减去第四个四分位数中具有显著正alpha的基金占比;(2) 第一个四分位数基金中具有显著负alpha的基金占比减去第四个四分位数中具有显著负alpha的基金占比。这两种方式度量的业绩差异幅度越大,说明估计alpha时使用的基准越好。

{w:100}图10是使用模型(14)进行检验的结果。总体而言,第一个四分位数的基金比第四个四分位数的基金表现出更多(更少)的显著正(负)alpha。此外,在de facto时变指数基准估计下,第一个四分位数和第四个四分位数基金的业绩差异大于其他基准。例如,在2003-2006年,根据beta调整时变基准估计的t统计量进行分组后,样本外预测中,正alpha差异为17.16%(负alpha为-34.48%),而使用标准普尔500指数时,正alpha差异仅为7.18%(负alpha为-20.96%)。

与基于模型(14)的结果相比,使用模型(16),基金在第一个四分位数和第四个四分位数之间的业绩差异更大。总的来说,在样本外预测中,使用时变指数基准比传统的指数基准有更高的alpha持久性。

技能vs“运气”或者只是未观察到的风险补偿

这些显著的alpha是因为基金经理真正的管理技能,还是纯粹的抽样随机性(即“运气”)或只是未观察到的风险补偿?

本文使用基金内部自助法机制(intra-fund bootstrap scheme),分别采用Fama-French-Carhart四因子模型和基于时变指数基准的新CAPM模型来衡量:

{w:100}估计的alpha以及t统计量分别展示在图11和图12中。

{w:100}在图11中,可以发现,第一, 根据Fama French-Carhart四因子模型估计的alpha,横截面alpha值中最小值和最大值分别为每月-4.39%和4.12%,而中位数为每月-0.13%。第二,对于alpha处于中位数以上的基金,使用本文提出的基准与四因子模型的结果不同。而因子模型下,业绩处于前20%的基金拒绝了抽样随机性的假设,不认为基金的alpha来源于运气。而使用本文提出的基准来控制未观察到的风险补偿时,并不拒绝原假设,处于中位数以上的基金的业绩是抽样变异性造成的。这两个模型产生的结果差异原因在于传统的因子基准模型可能缺失了部分因子。

第三,对于alpha处于中位数以下的基金,因子基准和本文提出的基准都得出了相同的结论,即显著为负的alpha是由于基金的管理技能较差。此外,时变指数基准对基金超额收益的解释程度远高于Fama-French-Carhart四因子模型,该基准更适合于基金业绩评价。

{w:100}图12是根据基金alpha的t统计量排序的结果。与图11相比,在因子基准模型下,只有前五名的基金表现出显著为正的alpha,而不是图11中的前20%的基金。而使用本文提出的基准,不管用alpha值还是t统计量,得出的结论都是一样的。这进一步证明了时变指数基准的稳健性和优势。

总而言之,本文的结果不同于现存的文献,这些文献认为少数基金拥有技术出众的alpha。而本文的时变指数基准证明基金的正alpha可能只是未观察到的风险补偿。因此,在进行基金业绩评价之前,关键是要选择一个合适的基准。

\

结论

本文建立了基于因子的基准选择和基于指数的基准选择之间的理论等价性,并证明了它在实证上并不成立,因为将17个被动型标准普尔和罗素指数与风险因子进行回归时,会出现显著为正的alpha。当指数基准错配时,基金alpha的方差会增加。基于上述发现,本文提出了一种机制转换的方法,无论基金是否有无风险资产,通过最小化基金alpha的方差,从17个被动型标准普尔和罗素指数中构建时变指数基准。本文认为评估基准好坏有以下2个标准:I) 基金月度基准调整后的收益在Fama French(1993)三因子上的暴露是否显著;II)基准对基金超额收益的解释程度(如平均R^2)。

本文还强调了基金基准错配现象、无风险利率作为额外基准的作用。实证结果表明,de facto时变指数基准比官方/公告的基准以及sensoy(2009)时不变基准更能捕捉基金风格。另一方面,该基准与官方/公告的基准部分重叠。

时变指数基准有以下几个优势:时变指数基准显著地提高了识别基金正/负alpha的能力,并以更高的显著意义确定了量级更小的alpha值;在样本外预测中,发现使用de facto时变指数基准比传统指数基准具有更高的alpha持久性。

在bootstrap方法中,将因子基准模型替换为指数基准后,发现“运气”(即抽样变异性)可以解释基金的正alpha,但不能解释负alpha,进一步强调了绩效评估研究中基准选择的重要性。但是要注意的是,本文的基准与基金事前公告的基准不同,基准是事后确定的。

本文的机制转换方法也适用于其他类型的基金(尤其是没有持仓数据的基金)。有些基金会有两个指定的基准,因此,未来也可以研究几种基准的组合,而不是单一基准,来看是否能更好地捕捉基金的风格,以及它是否能进一步提高识别基金alpha的能力。

{link}