研报&论文-历史文档不公开

股价同步性一定损害公募基金行业吗?情绪在起作用

由small_q创建,最终由small_q 被浏览 8 用户

本文介绍了Feng Dong,Son Dang Wilson于2018年发表于《Journal of Behavioral Finance》的文章《Does High Stock Price Synchronicity Always Hurt Mutual Fund Industry? Sentiment Matters》。股价同步性是证券市场发展过程中普遍会遇到的问题,通常采用两种观点解释股价同步性出现的原因,一种认为由于公司层面的特定信息向市场传达过程中的低效,导致股票跟随市场同涨同跌,另一种则认为其背后是噪声交易在起作用。业内普遍认为股价同步性会损害公募基金行业收益,但本文提供了另一种视角,观察市场情绪在其中的作用,验证是否在不同市场情绪中,公募基金总会受到股价同步性的负面影响。

数据和实证方法:文章选择2000-2014年的个股和共同基金数据,用市场和行业回报对个股收益进行回归,收集R2并转化为月度市场R2,再将其进行对数处理得到股价集中度指标,之后结合基金管理技能指标和其他控制变量对基金业绩进行回归。

实证结果:

  1. 从基金行业的整体来看,股价同步性和基金业绩之间呈现负相关性,这与业内长期以来的观点相一致。而管理技能较高的基金经理可以帮助减少股价同步性带来的负面影响;鉴于文章统计期间包含了2008年,作者进而以金融危机将时间区间划分为危机时期和正常时期,结论仍然相同,只是股价同步性在危机时期的负面影响更加显著。

  2. 引入投资者情绪后发现,在低情绪期,当同步性由市场层面的信息引起时,同步性与基金业绩负相关,作者认为是因为此时股价变动是基于宏观层面的信息同向变动造成的,选股收益较低,公募基金整体受到负面影响,但管理技能高的基金经理仍然可以胜出。在高情绪期,股价同步性和基金业绩之间的负相关性消失了,意味着共同基金收益并未受到高同步性的负面影响,印证了作者的观点,即此时股市同步性由市场噪音引起,公司层面的信息仍可以得到,并与噪声同时存在,基金经理仍然可以运用其选股能力获得超额收益。

    结论及延申:本文研究结果表明,金融业长期以来认为的高股价同步性对基金绩效产生负面影响的观点,只在投资者情绪低迷时期存在,还发现基金经理在个股选择上的优势可以利用噪声相关的股价同步性,降低低情绪期下股价同步性的负面影响,提高基金的绩效。本文主要基于美国公募基金数据进行实证研究,相对于美国成熟的权益市场,A股的股价同步性更高,该研究对于如何评价基金经理同样具有意义,也存在多个可继续拓展延申的方向。

风险提示:本文内容基于作者对海外基金市场的实证研究,对于中国市场的具体情况,结论可能会发生变化。

\

简介

股价同步性是各国证券市场发展进程中普遍会遇到的问题,业内普遍认为,股票价格的同涨同跌现象使得基金经理无法发挥自身出色的选股能力来获取超额收益,但本文提供了一个不一样的思路来检验这种负面影响是否具有普适性。

文章认为,存在高同步性的不同市场条件可能会对基金业绩产生不同的影响。研究将总体投资者情绪作为一个市场条件纳入方程,以探讨股价同步性与基金业绩之间的负相关关系是否保持以及何时保持。作者从2000年到2014年选取了一批主动管理的美国股票共同基金作为样本,并采用了11只被动管理指数基金构成的基金组合作为基准来衡量基金业绩和基金管理技能。

作者发现,当投资者情绪低迷时,股价同步性会对共同基金的盈利能力产生负面影响。这种负面关系在情绪高涨时期消失了。作者还发现,在低情绪和高情绪状态下,拥有出色选股技巧的基金经理从高股价同步性中获得的利润高于平均水平。

\

文献综述

股价同步性,或者股票在某一特定时期同向移动的程度,取决于股价包含公司层面信息和市场层面信息的相对多少(Roll [1988], Mocrck, Yeung, and Yu [2000])。当股票价格同步性较强时,意味着股价隐含了相对较少的公司层面信息。金融界普遍认同一种观点,即当股价同步性较高时,个股选择能力的作用下降(Wall Street Journal [2009])。因此,股价同步性是包括公募基金在内的专业投资者十分关注的问题,它同时也影响着资产管理行业诸如风险评估和资产定价之类的日常工作。

在学术界,关于股价同步性是由市场噪声还是市场层面的信息造成的仍存在争论。Wang [2014]提供的实证证据表明,股价同步性是在2004年由萨班斯法案引起的市场层面信息造成的,但在2005和2006年,则转变为了市场噪声。股价同步性背后隐藏的信息直接影响着专业投资者的盈利能力。随着越来越多的个人投资者将投资决策权委托给基金经理,将股价同步性纳入考量范围对正确评估基金业绩和基金经理能力具有实用价值。

在本文中,我们试图通过将股价同步性和市场层面的投资者情绪,即与投资者对股市普遍乐观或悲观的态度联系起来,来解决学术界在这一问题上的分歧(Baker and Wurgler [2006])。文章表明,情绪会对股票收益的截面产生影响,投资者情绪的某些变化会导致不同类型股票的价格一起波动(Qiu and Welch [2004], Greenwood and Sosner [2007], Barberis, Shleifer, and Wurgler [2005])。换句话说,特定风格的情绪加剧了同一风格下某些截面之间的股票回报的同步性。由于许多金融影响因素不止局限于特定领域内,因此投资者情绪变化可能会传导至整个市场。事实上,Stambaugh,Yu and Yuan [2012]假设投资者情绪具有一个市场范围的成分,有可能在同一时间对不同股票造成同向的影响。

本文认为,不同的市场环境下(如市场情绪的高低)出现的股价同步性,对基金业绩的影响是不同的。这与一些低收入国家的情况类似,在这些国家中,投资者权力薄弱,阻碍了风险套利活动,阻止了公司特定信息反应在股价上,从而增强了股价同步性(Morck et al. [2000])。股票价格是根据市场层面的信息形成的,因此很难区分高质量股票和低质量股票。由于个人选股技巧主要来源于基金经理对公司特定信息的分析,我们预计在低情绪时期,股票价格的同步性会对基金业绩产生负面影响,这与业内长期以来的观点一致,即高同步性损害基金业绩。然而,即使高同步性导致公司层面的特定信息贡献的利润较低,但拥有出众分析能力的基金经理仍然可以发现好的投资机会,以此提供高于平均水平的业绩。

在情绪高涨时期,投资者对市场持乐观态度,行为也相应不理性起来。Antoniou,Doukas,和Subrahmanyam [2014]发现,众所周知的资本资产定价模型在投资者情绪较高时并不适用。噪声交易者对未来的现金流和股票贴现率持有过度积极的观点,他们涌入市场进行的冲动交易将股票推离其真实价值(De Long, Shleifer, Summers, and Waldmann [1990]。再加上卖空限制和有限的套利活动,当这些偏差信念面对任何新信息波动时,都可能会导致股票回报出现大的系统性波动,从而造成股价的高同步性。虽然整个市场的噪声严重影响股价并造成偏离,但公司层面的信息仍存在,很难假设同步性和基金业绩之间有任何关系。如果基金经理有能力从噪声中设别有价值的信息,他们应该在这些市场状态中受益更多,因为由于噪音交易者的乐观情绪,任何有关一家公司的积极信号都很容易引发股票定价过高。因此,高技能的基金经理仍然可以利用公司特定的盈利信息实现出色的业绩。

在此基础上,我们认为高股价同步性的来源在高情绪期和低情绪期是不同的,基金业绩与同步性之间的负相关关系只在低情绪期存在。此外,有能力在不同市场条件下识别有价值信息的高技能投资者,总是会从同步性中受益。为了检验我们的假设,我们使用了2000年至2014年的主动管理的美国股票共同基金样本,并采用Berk and van Binsber- gen [2015]的基金业绩指标(总超额收益与基金规模的乘积)与基金管理技能指标(技能比)。

虽然同步性与基金业绩之间存在负相关关系,但我们主要关注的是这种关联在不同情绪状态下的有效性。我们的实证证据表明,这种负相关只存在于低情绪时期,此时价格同步性是由市场层面信息决定的。在高情绪时期,当市场噪声是价格同步性的主要原因时,我们发现基金业绩与同步性之间没有显著的关系。除此之外,当价格同步性高时,无论其来源如何,拥有较高基金管理技能的基金经理总能带来卓越的业绩。这一分析实际表明了,高股价同步性并不总是对专业投资者的业绩产生负面影响,这取决于同步性的来源。

\

数据及方法论

样本选择

我们的样本周期为2000年1月到2014年12月的十五年。个股和共同基金的数据来源于彭博数据库。收集所有在纽约证券交易所、纳斯达克证券交易所和纽约证券交易所(AMEX)上市和退市的股票的日收益,以估计市场的同步性。对于共同基金的信息,我们收集样本中所有主动管理美国基金的月度收益。此外,我们还收集了在文献中发现的影响业绩的基金层面的变量数据。这些控制变量包括净资产(TNA)、年龄、换手率(总卖出金额和总买入金额较小值与净资产的比值)和费率(各基金的年费率水平)。

为避免幸存者偏差,我们的样本既包括还在运作的基金,也包括已经退市的基金。基金选择只包括主动管理型的美国基金,具体筛选方法如下:

  1. 投资地区为美国;
  2. 注册地在美国;
  3. 主要投资于股票;
  4. 类型为开放式共同基金。

由于我们的样本期结束于2014年12月,而需要24个月的估计期,因此删除了基金成立日晚于2012年12月的所有观测数据。我们还从样本中剔除了一些类型的基金,如指数基金、平衡型基金、国际基金和行业主题基金,这些基金的名称包含以下内容:inde, ind, S&P, DOW, Wilshire, Russell, global, fixed-income, international, sector, balanced。此外,我们仅保留2013年12月的净资产不低于1500万美元的基金。评估区间包括24个月,之后为一个测试月。表1汇总了样本中共同基金的汇总统计数据。

{w:100}我们使用在金融文献中被广泛使用的Baker and Wurgler [2006]的情绪指数(BW index)来衡量市场水平的情绪。该指标使用6个投资者投资股票倾向的代理变量,包括交易量(纽约证交所总成交量)、派息股票溢价、封闭式基金折价、首次公开发行的数量和首日回报、新发行的股票份额。我们的BW指数数据涵盖了从2000年1月到2015年12月的时间段。在整个样本期内,如果t月的BW指数高于(低于)所有月度BW指数的中位数,则定义t月为高(低)投资者情绪月。

实证方法

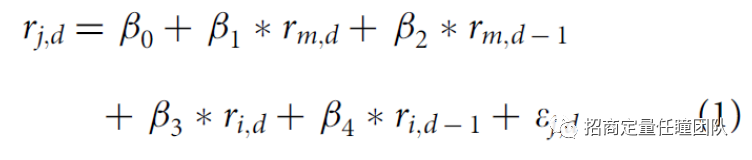
如前所述,我们收集了2000年1月至2014年12月期间纽交所、纳斯达克和美国证券交易所所有已退市和仍在运作的股票的日回报率。在每个月,我们将市场和行业的每日股票回报率回归如下:

{w:100}其中,rj,d 股票j在d日的收益率,rm,d是CRSP市值加权市场指数的回报率,ri,d是股票j所在行业的所有公司的市值加权回报率。我们的行业分类遵循Fama- French 17-industry scheme。我们只收集在回归月份内的所有交易日都有收益数据的股票的月度数据。表2列出了每年统计的公司数量和观察结果。

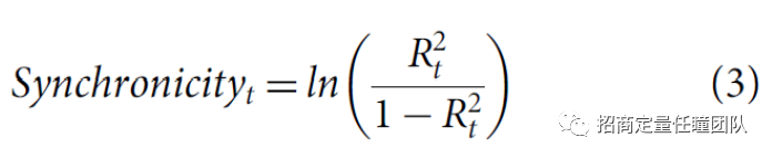
{w:100}接下来,我们从上述每个月的回归中收集R2,并将其转化为一个合计月度市场R2:

{w:100}此处SST是从所有回归中得到的股票j的总变异的平方和,通过合计月度市场R2的对数转换得到每个月的股价同步性的市场水平衡量指标:

{w:100}为了衡量基金业绩和基金管理技能,我们采用了Berk and van Binsbegen [2015]提出的方法,他们认为衡量基金业绩,应该将其业绩与投资者当时可获得的下一个最佳投资机会进行比较。基准应具备两个特征:1)投资者知道基准的回报;2)基准可以被交易。以往使用FFC模型、Fama-French三因子模型、资本资产定价模型等因子模型来衡量基金绩效的研究大多不符合这两个标准。

继Berk and van Binsbergen [2015]之后,我们使用Vanguard提供的11只被动管理指数基金的投资组合,作为基准的另类投资机会。我们只纳入所有11只指数基金都有数据的观察结果。最后的样本覆盖从2002年12月到2015年12月的157个月。然后,我们在前n-1个基金145个月中产生的正交基的基础上,对第n个基金进行回归,从这些指数基金中构造正交基。指数基金n的正交基是通过将先前回归收集到的残差与基金n过去完整时间段的平均收益相加来计算的。

接下来,如下式所示,从2002年12月到2014年12月,我们在11个Vanguard指数基金正交基上对每个基金f的超额收益进行回归,采用24个月的滚动窗口回归,每次向前移动1个月。

{w:100}Berk and Green [2004]认为,由于共同基金拥有相同的投资机制,因此价值衡量指标(如总超额收益)相较于收益衡量指标,能够更好地评价基金业绩。为使各基金之间具有可比性,需要根据基金规模对总超额收益进行调整。因此,我们采用的基金业绩指标为Berk and van Binsbergen [2015]提出的基金在测试月获得的超额资金流入(BvanB alpha),即为基金的超额收益率(或称基金的Alpha,计算方法为基金的实际回报率高于预期回报率的部分)和测试月月初的的基金净资产TNA。基金的预期收益是Vanguard指数基金各正交基与前24个月估计期的超额收益之间的系数乘以当月Vanguard指数基金各正交基的实数。

为了获取基金管理技能,我们使用了Berk and van Bins-bergen [2015]提出的技能比率的衡量方法,记作BvanB skill。然而,我们不像他们的论文那样关注基金经理之间的横向技能差异,而是使用滚动窗口回归方法来测试基金管理技能是否随时间而变化。每个基金在每个月的BvanB skill为测试月月初基金Alpha与基金TNA的乘积除以基金Alpha (SE)的标准误差,如下式所示:

{w:100}而基金Alpha和标准误差是通过对基金的超额收益在另类投资机会集上的24个月滚动窗口回归得到的。基金规模(TNA)是经通货膨胀调整后的值。

\

实验结论

我们首先检验具有较高基金管理技能的主动管理型基金经理是否在高股价同步性期间表现优于平均水平。如前所述,我们采用BvanB指标来计算基金业绩(BvanB alpha)和基金管理技能(BvanB skill)。此外,我们还控制了基金交易策略的固定效应和年度效应。根据彭博数据集提供的交易策略,我们样本中的所有共同基金都被分为6类。这些类别包括混合型(占所有样本共同基金的25.49%)、成长型(37.91%)、价值型(35.01%)、多空型、空头基金及和市场中性型(后3种策略共占1.59%)。表3给出了所有基金级变量的相关矩阵。

{w:100}BvanB skill和BvanB alphat-1相关性最高(0.662),表明基金管理技能与基金业绩有较强的相关性。除此之外,任何变量之间都没有显著的高相关性,这消除了潜在的多重共线性问题。接下来我们进行回归。

{w:100}

针对基金行业整体的实证结果

回归结果如表4所示。正如预期的那样,在各个模型中,基金管理技能对基金绩效都有正向影响。相比之下,在不同的模型中,股价同步性和基金业绩之间的关联是负的,这证实了金融行业长期以来的信念,即平均而言,共同基金受到高股价同步性的负面影响。我们更感兴趣的是交叉变量,或股价同步性与基金管理技能的乘积。该变量的系数在1%水平上为正且在统计上显著,说明较高的分析能力可以帮助基金经理减少同步性对基金业绩的负面影响,甚至可以从高同步性中获益

{w:100}

以金融危机划分不同时期下的结果

由于我们的样本期在2002年至2014年之间,涵盖了最近一次金融危机的整个时期,有人可能会说,我们的结果受到动荡的经济状态的影响,特别是在2008年和2009年。为了解决这个问题,我们将我们的样本时期分为两个细分时期:危机时期(2008年和2009年)和正常时期(2002-2007年和2010-2014年),并再次运行之前的回归。研究结果表明,虽然股价同步性对基金绩效的负向影响在危机时期更为显著,但基金管理技能对基金业绩和股价同步性的调节效应在任何时间段内都是显著的

{w:100}

引入投资者情绪指标后的实证结果

当讨论股市同步性和基金业绩之间的关系时,我们需要了解清楚高股价同步性背后隐含的信息是什么类型的。因此,我们在研究中引入了投资者情绪,来检验股价同步性和市场情绪。由表6可知,市场情绪对股价同步性有负向作用。但是,当市场情绪上升至及非常高的水平时,股价同步性增强了。在两个模型中,市场情绪的平方值和股价同步性都是显著的。这种U型关系支持了我们的假设,即高股价同步性存在于情绪低落和情绪极度高涨的时期

{w:100}

  • 低情绪期下的结果

我们现在测试市场情绪是否对股价同步性和基金业绩之间的关系有任何影响。结果见表7。我们的研究结果表明,在低情绪期,当市场层面的信息引起高同步性时,同步性与基金业绩之间存在负相关关系,且在1%的置信水平上具有统计学显著性。原因在于,在这种市场条件下,股价都是基于宏观层面的信息同向变动的,选股能力带来的收益较低。公募基金行业作为一个整体会受到高股价同步性的负面影响,因为基金经理平均来看难以舍弃他们最经常应用的个股选择策略。但是,基金管理技能和股价同步性指标的交叉项的正系数表明,高管理技能的技能经理相较于同行可以获得更好的回报,因为他们可以识别有价值的投资机会,而这些投资机会在低情绪时期是比较少的

{w:100}

  • 高情绪期的结果

在情绪高涨的时期,股价同步性和基金业绩之间的负相关性消失了,意味着共同基金的收益并没有受到高股价同步性的负面影响,这一结果支持了我们的假设,即投资者情绪高涨时,股市同步性反映的是市场噪声,而不是市场层面的信息。由于公司层面的信息与噪声同在,基金经理仍然可以运用他们的选股能力创造收益,其中管理技能较高的基金经理甚至可以在市场情绪较高的环境下实现更好的收益,这一点可以从BvanB skill和股价同步性的交叉项看出。

\

结论

本文研究结果表明,金融业长期以来认为的高同步性对基金绩效产生负面影响的观点,只在投资者情绪低迷时期时存在,此时高同步性反映了市场层面的信息。在高情绪时期,当非理性投资者的噪声交易活动引起股价同步时,负相关性消失。

研究还发现,基金经理在个股选择上的优势可以利用噪声相关的股价同步性,降低低情绪期下股价同步性的负面影响,提高基金的绩效。从实际意义上讲,本研究证实了投资者的观点,即高股价同步性会损害共同基金行业,但只在投资者情绪低落时才会如此。因此,在评估专业投资者在高股价同步性时期的表现和分析技能时,考虑投资者情绪是很重要的。

本文主要基于美国公募基金数据进行实证研究,相对于美国成熟的权益市场,A股的股价同步性更高,该研究对于如何评价基金经理同样具有意义,也存在多个继续拓展延申的方向,如:

  • 本文对基金经理管理能力的考察主要针对选股能力,在行业配置和仓位择时的维度上,文章的结论是否同样适用?
  • 另外,文章证实了在市场情绪较高的环境下,管理经验出色的基金经理表现仍然相对更好,是否可以将其作为衡量基经理真实管理能力的指标?
  • 国内权益市场近年来的股价同步性相对有所减弱,而过去在同涨同跌的市场中表现出色的基金经理,其优秀的业绩是否延续到了今天?

\

标签

行为金融学投资者情绪金融市场
{link}